Wiele osób myśli, że rozwiąże to równanie bez problemu. Są jednak w wielkim błędzie.
Niektóre równania matematyczne jawią się jako zadania wyjątkowo proste do rozwiązania. Błyskawicznie jednak się okazuje, że każdej osobie, która rozwiązuje takie równanie, wychodzi inny wynik. Co więcej, te osoby są w stanie kłócić się między sobą o to, które rozwiązanie jest właściwe i każdy ma argumenty, przemawiające za tym, że jego wynik jest prawidłowy. W matematyce jednak niemożliwe jest, by jedno zadanie matematyczne miało wiele wyników. Rządzi się ona jasnymi prawami a wynik równania może być tylko jeden.
Dlaczego wyniki tak banalnego zadania mogą być różne? Odpowiedź jest prosta. W szkole byliśmy uczeni kolejności działań matematycznych, po latach jednak zapominamy, jak prawidłowo rozwiązywać zadania matematyczne.
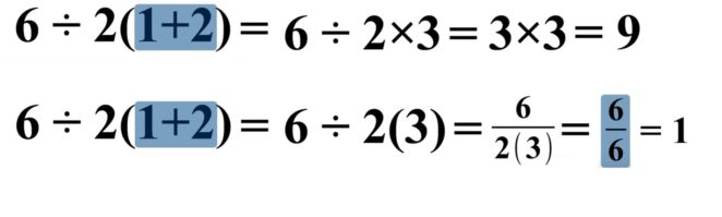
Świetnym przykładem, który sprawdzi Twoją wiedzę z dziedziny matematyki, jest pokazane niżej równanie. Nie można ukrywać, że wśród internautów budzi bardzo wiele emocji.

Obliczyłeś, a wynik wynosi 1 lub 9? Nie ma w tym nic zaskakującego. Wiele osób, jako wynik tego banalnego równania, podaje właśnie te cyfry. To jednak nie są właściwe odpowiedzi.
Są osoby, które uznają, że prawidłowy wynik to 0,3 lub 6. To również nie są prawidłowe wyniki !
Powód, dla którego wiele osób uznaje za prawidłowy wynik 1 lub 9 zależny jest od tego, w jaki sposób uczono nas rozwiązywać działania matematyczne.

Biorąc pod uwagę kolejność wykonywania działań, prawidłowym wynikiem jest liczba 9. Zarówno życie, jak i matematyka są jednak o wiele bardziej skomplikowane, wynik zaś nie musi być tak banalny, jak mogłoby się wydawać. Wielu osobom wydaje się, że zamiast dzielenia można postawić kreskę ułamkową. W takiej sytuacji, szybko jednak nasuwa się pytanie: czy 12:6:2 to to samo co 12:6/2?
A Ty? Jaki wynik uważasz za prawidłowy?